


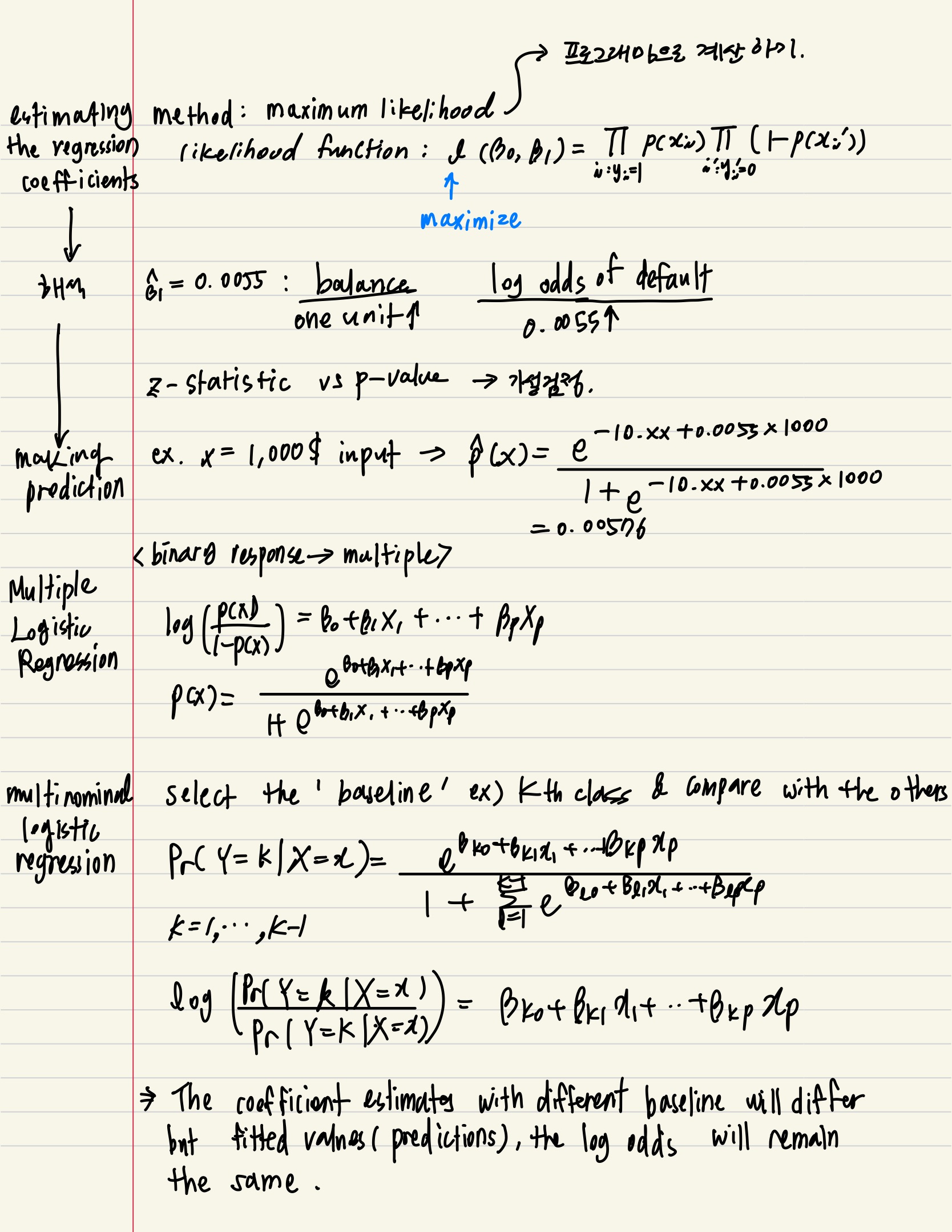
로지스틱 회귀분석은 종속변수가 이진 또는 다항값을 가질 때, 그 확률을 예측하기 위한 통계적 모델이다. 선형 회귀와 달리 예측값을 확률로 변환하여 직접 예측할 수 있다. Y값은 x값이 0.5보다 크면 1로 반환하고(lap: 'up'을 의미), 작으면 0으로 반환하다(lap: 'down'을 의미).
모델의 최적의 계수를 찾기 위해서는 최대 우도 추정법을 사용하고, 우도 함수를 그대로 사용하면 계산이 어려워서 로그 우도 함수를 사용한다. x가 한 단위 증가할 때, y가 1이 될 확률이 얼마나 변하하는지를 나타내는 값이다!! 계수는 로그 오즈를 얼마나 변화시키는지를 의미한다.
예를 들어, beta = 0.7 -> e^0.7 =2.0138 이면 x가 한 단위 증가할 때, y=1이 될 오즈(확률)이 2배 증가한다.
'Data Analysis > Machine Learning' 카테고리의 다른 글
| [ISLP] Logistic Regression Lap (2) | 2025.03.20 |
|---|---|
| [기계학습] 데이터 분석 입문 (1) | 2025.02.19 |
| [기계학습] 기초 지식(주성분, 비지도학습, 지도학습) (2) | 2025.02.18 |